品牌元件·達孚制造
每一種電容器,根據其介質的不同,其使用溫度也不一樣,如果超過其使用溫度范圍,很容易造成電容器失效。
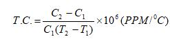
由于使用溫度的變化,電容量也會變化。電容量這種對溫度的變化,我們稱之為電容量的溫度系數(Temperature coefficient),也叫容量變化率,其計算公式隨介質的不同,計算方法也不一樣。
溫度補償型電容量的溫度系數計算公式為:

容量C1是溫度T1下所測得之電容量;容量C2是溫度T2下所測得之電容量。
高介電常數型與半導體型的容量變化率計算公式如下:

NDF達孚電子科技作為專業的電容器/電阻器廠家,多年一直專注于安規電容、陶瓷電容、壓敏電阻的研發生產,對于相關技術和行業需求有著深入了解,如需索樣及產品報價,可撥打熱線:13694925208 曾女士